新仓论坛

 找回密码
 注册

QQ登录

只需一步,快速开始

搜索
热搜: 活动 交友 discuz

刚刚宣布!安徽高考时间有变!

[复制链接]
 楼主| 发表于 2024-1-29 20:35:30 | 显示全部楼层
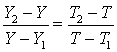
一、分数转换参数设置


二、转换公式


其中:分别表示某个等级所对应原始分区间的下限和上限;分别表示相应等级的等级分区间的下限和上限;表示某等级内某考生的原始分;表示相应等级内某考生的等级分。

三、转换示例


假设某考生思想政治科目选择性考试科目原始分为 75 分。

第一步,将该科目选择性考试原始分从高到低进行排序,按照规定的等级比例将该考生划定为 B 等级,该科目 B 等级的原始分区间为 82~61(仅是示例,实际各科目各等级原始分区间不固定);

第二步,根据分数转换参数设置,将 B 等级内该考生原始分,依照等比例转换方法,转换到 85~71 分数区间,根据转换公式,该考生思想政治科目的等级分为:


解得,(四舍五入取整),即该考生思想政治科目等级分为 80 分。

 楼主| 发表于 2024-1-29 20:35:45 | 显示全部楼层

采用等级分解决了哪些问题?

一是通过将不同再选科目原始分按照统一规则转换到同一量尺上,较好地解决了不同再选科目成绩之间可比性的问题。

二是通过依照等比例转换原则将等级转换成等级分,较好地解决了不同再选科目成绩之间可加性的问题。

三是能够最大限度保证考生的成绩具有良好的区分度,满足高校人才选拔需要。同时,能够保持考生每门学科成绩排名顺序不变。

 楼主| 发表于 2024-1-29 20:35:57 | 显示全部楼层
综合素质评价的主要内容有哪些?

综合素质评价内容包括思想品德、学业水平、身心健康、艺术素养、劳动素养与社会实践五个方面,主要考察学生在爱党爱国、理想信念、诚实守信、仁爱友善、责任义务、遵纪守法等方面的表现,各门课程基础知识、基本技能掌握情况以及运用知识解决问题的能力和学生发展核心素养等,健康生活方式、体育锻炼习惯、身体机能、运动技能和心理素质等,对艺术的审美感受、理解、鉴赏和表现的能力,在劳动教育、综合实践活动中动手操作、体验经历等情况。



普通高中学校还可以基于学生发展的年龄特征,结合教育教学实际,细化学生综合素质评价的具体内容和要求,并分年级在上述五大指标框架内增设反映学校办学特色的评价内容。
 楼主| 发表于 2024-1-29 20:36:04 | 显示全部楼层
综合素质评价档案材料如何应用?

一是指导学生积极主动发展。普通高中学校要利用每学期的班级评价结果建立学生分类发展性评价体系,指导学生建立自信、克服不足,学会自我管理,明确努力方向;引导教师全面、深刻地了解学生,反思教育教学行为,优化德育过程,实施素质教育。



二是促进普通高中学校实施素质教育。各级教育行政部门要利用“信息管理系统”和评价数据,定期根据基础教育质量综合评价改革的要求对评价结果进行分析,诊断普通高中学校教育教学中的问题,提出有针对性的改进建议,督促普通高中学校组织开展素质教育活动,促进学校多样化、特色化发展。



三是作为高校选拔人才的重要参考。高中学校要将学生综合素质评价档案提供给高校招生使用。2024年起,高等学校在招生章程中应明确综合素质评价的具体使用办法,并提前向社会公布。
 楼主| 发表于 2024-1-29 20:36:12 | 显示全部楼层
2024年高校招生计划是如何编制的?

2024年,普通类招生计划按照历史科目组合、物理科目组合分别编制。艺术类、体育类招生计划不分历史科目组合、物理科目组合。高校按“院校专业组”方式编制招生计划。院校公布的招生总计划数须具体编制到各院校专业组,院校专业组的计划须具体编制到组内各专业。可不编制分省计划的特殊类型招生,按国家有关规定执行。
 楼主| 发表于 2024-1-29 20:36:19 | 显示全部楼层
2024年高校招生录取批次是如何设置的?

2024年普通高校招生类别分普通类、艺术类和体育类。



普通类共设置4个批次,包括普通本科提前批次、普通高职(专科)提前批次、普通本科批次、普通高职(专科)批次;艺术类共设置3个批次,包括第一批次(校考本科批次)、第二批次(统考本科批次)、第三批次(统考高职〈专科〉批次);体育类共设置2个批次,包括第一批次(体育类本科批次)、第二批次(体育类高职〈专科〉批次)。

 楼主| 发表于 2024-1-29 20:36:27 | 显示全部楼层
新高考实施后考生选择机会是否会增加?

改革后考生选择机会将会大幅增加。为尽可能满足考生升学对院校和专业的选择需求,我省普通本科提前批次、普通高职(专科)提前批次、国家专项计划、地方专项计划等实行平行志愿的类别,各分别设置20个院校专业组志愿(改革前为6个院校平行志愿);艺术类、体育类实行平行志愿的类别,各分别设置20个院校专业组志愿(改革前艺术类为8个院校平行志愿,体育类为6个院校平行志愿);普通本科批次、普通高职(专科)批次各分别设置45个院校专业组平行志愿(改革前普通本科一批6个院校平行志愿、普通本科二批10个院校平行志愿,普通高职〈专科〉批院校6个院校平行志愿)。



改革后志愿设置的数量将大幅增加,能够充分满足广大考生选择填报的需要,因此不再设置院校服从志愿。
 楼主| 发表于 2024-1-29 20:36:34 | 显示全部楼层
合并本科批次是如何考虑的?

《国务院关于深化考试招生制度改革的实施意见》(国发〔2014〕35号)明确提出“创造条件逐步取消高校招生录取批次”。合并本科批次,体现了国家改革的总体方向,能够更好满足高校、考生及社会的发展需要。
 楼主| 发表于 2024-1-29 20:36:44 | 显示全部楼层
各批次录取控制分数线是如何划定的?

普通类本、专科录取控制分数线按照普通类历史科目组合、普通类物理科目组合相应本科、专科层次招生计划的一定比例,并综合考虑成绩分布等因素分别划定。



特殊类型招生控制线分普通类历史科目组合、普通类物理科目组合,参考往年普通文理科本科第一批次招生计划按比例分别划定,用于强基计划、高校专项计划等部分特殊类型招生录取使用。



根据省招委印发的《安徽省进一步加强和改进普通高校艺术类专业考试招生工作实施方案》(皖招委〔2023〕3号),按照历史科目组合、物理科目组合分别划定艺术类统考本科、高职(专科)文化课录取控制分数线。其中,播音与主持类本科专业原则上不低于普通本科录取控制分数线;美术与设计类、书法类本科专业原则上不低于普通本科录取控制分数线的75%;舞蹈类、表(导)演类本科专业原则上不低于普通本科录取控制分数线的70%。艺术类高职(专科)原则上不低于普通高职(专科)批次文化课录取控制分数线的80%;根据《教育部办公厅关于做好2024年普通高等学校部分特殊类型招生工作的通知》(教学厅〔2023〕10号)精神,音乐类的音乐表演本科专业高考文化课成绩原则上不低于普通本科录取控制分数线的70%,音乐类其他本科专业高考文化课成绩原则上不低于普通本科录取控制分数线的75%。



艺术类专业校考、戏曲类省际联考文化课成绩要求按照教育部相关规定执行。



省教育招生考试院在公布艺术类省级统考专业考试成绩时,根据报名人数、专业考试成绩分布等情况划定艺术类专业合格线(校考资格线)。达到艺术类专业合格线(校考资格线)的考生可以参加相应艺术类专业校考,同时也作为艺术类高职(专科)统考批次的最低专业合格要求。



为确保艺术类统考本科批次生源专业素养,在高考成绩公布时,省招委根据考生高考文化成绩和专业考试成绩分布,以及当年招生计划等因素,分类别划定省级统考本科批次专业录取控制分数线,与高考文化课录取控制线同期发布。不再划定省级统考综合分最低录取控制线。



体育类本科文化课录取控制分数线分历史科目组合、物理科目组合按照普通类本科录取控制分数线的65%划定;体育类高职(专科)文化课录取控制分数线分历史科目组合、物理科目组合按照普通高职(专科)批次录取控制分数线执行。



民航飞行技术专业的分数线参照教育部、中国民用航空局有关规定执行。
 楼主| 发表于 2024-1-29 20:36:53 | 显示全部楼层
2024年在志愿填报方面有哪些主要变化?

与改革前相比,志愿填报单位、志愿填报要求发生了变化。



(1)志愿填报单位

改革前以“院校”为志愿填报单位,1所院校即为1个志愿填报单位,改革后以“院校专业组”为志愿填报单位,1个院校专业组即为1个志愿填报单位,按“院校专业组”的方式进行志愿填报。



(2)志愿填报要求

改革后,考生填报志愿时,其选考科目须符合拟填报院校专业组的选考科目要求,否则不能填报该院校专业组志愿。我省填报志愿的时间段和填报方式与改革前相同,仍采用在高考文化成绩公布后,分阶段组织网上填报志愿的方式。
您需要登录后才可以回帖 登录 | 注册

本版积分规则

手机版|新仓论坛 ( 京ICP备030173号  

皖公网安备 34082502000080号

GMT+8, 2025-10-19 15:31 , Processed in 0.065362 second(s), 16 queries .

Powered by Discuz! X3.4

© 2001-2023 Discuz! Team.

快速回复 返回顶部 返回列表